PhiCube is a portable robotic platform that transforms pediatric rehabilitation into engaging play. Designed for children with developmental challenges, it addresses motor, cognitive, communicative, and social-emotional development through a single integrated approach. Our patented hardware combines force-feedback technology with bilateral coordination training, turning upper-limb movements into captivating gameplay. Its personalization capabilities adapt PhiCube to each child’s unique needs, while comprehensive analytics provide objective progress tracking for therapists and families. Compact enough to fit in a carry-on suitcase, PhiCube delivers seamless continuity of care across therapeutic centers, homes, and schools—unlocking each child’s full potential through play that heals, teaches, and inspires.
INTEGRATED
Unified multisensory platform combining motor, cognitive, communication, and sensory support in one device.
ADAPTIVE
PhiCube personalizes to each child’s developmental profile and abilities.
ACCESSIBLE
Portable, affordable technology that brings specialized educational gaming to homes, schools, and communities.
The Robotic Core
The core of PhiCube is a flexible and portable robotic unit, that supports Accessories, Therapeutic Games and other additional modules to perform motor bilateral therapies in an assisted way. Tune the provided assistance/resistance to your needs: from completely active to completely passive with all the steps in between that you can imagine. A smart control algorithm also allows you to introduce a “bilateral assistance” component where one limb can help the other in performing the required movement.
The Grips
A variety of handles are designed for specific motor functions. Each handle is tailored for habilitation training, enhancing strength, coordination, and mobility. With PhiCube movement becomes the activator for learning.
Globo
A spherical handle offered in two sizes for full-range hand movement and dexterity training.
Wheel
A dynamic grip designed for rotational exercises focused on the elbow and shoulder.
Cycle
A pedal-style handle that simulates cycling to improve limb coordination and active movement.
Prono
A cylindrical handle for pronation and supination movements of the upper limb.
FlexiLever
A reconfigurable lever to allow grasping through different wrist orientations.
The Game Store
Interactive therapy experiences designed for developmental disorders. Each game offers flexible skill training that adapts to the selected settings. Depending on the preferences set by the therapist or caregiver, every game can target a wide range of motor, cognitive, and visual abilities.
Racing
Complete laps around the track to train motor coordination, reaction speed and spatial awareness.
Shuttle
Rescue the lost astronauts floating in the Martian atmosphere to train motor skills, visual attention, neglect.
Submarine
Collect the Nemo fish hiding in the deep sea to train visual neglect, cognitive engagement, bimanual coordination.
Tractor
Collect hay, dodge the hens, and race the clock to train motor skills and attention.
Newton
Catch apples before they hit the ground to train hand-eye coordination, visual tracking, and quick decision-making — but beware of falling rocks!
Rowing
Row your boat along the canal and complete your lap to trains bilateral coordination, upper-limb strength, and focus.
Explorer
Chase coins and navigate the city maze to train motor coordination, spatial navigation, and visual scanning.
Boat
Clean the sea — collect trash, avoid buoys - to train visual attention, visuospatial neglect, and motor precision.
Equilibrist
Keep the spinning top balanced along a tightrope to train bilateral control, fine muscle control, and sustained attention.
Phil
Leveraging the modularity of the platform, PhiCube can be transformed from an inclusive active game controller into PHIL: a social companion designed to extend the habilitation sessions to behavioral and social interaction skills.
Vision System
A camera-based system that tracks movement and integrates with our games, making therapy engaging and effective. PhiCube combines real-time upper-body motion tracking and adaptive games to deliver engaging, personalized therapy while monitoring progress and movement quality, tracking user posture and compensatory movements.
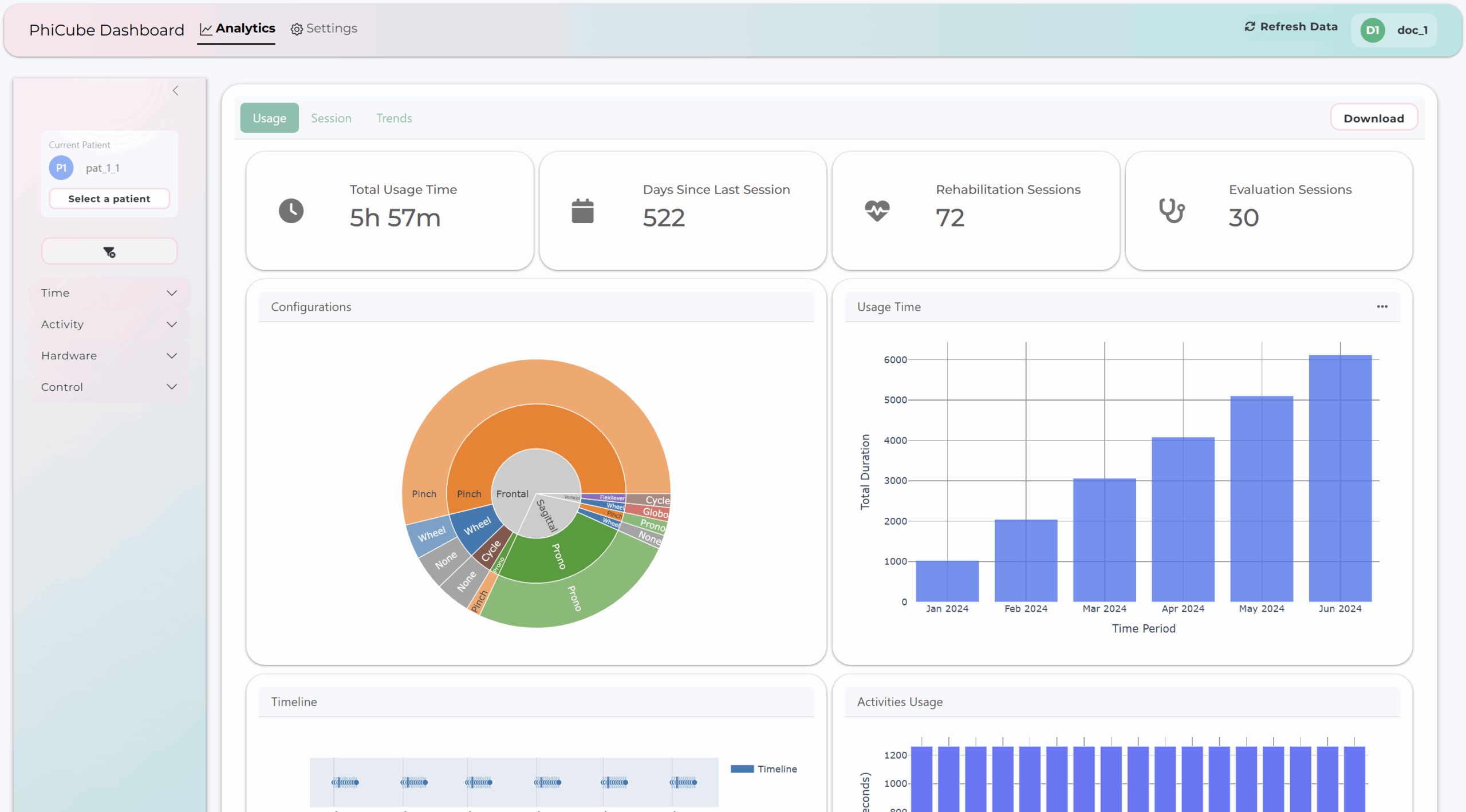
Data Assets
Our data management infrastructure is designed to handle the collection, storage, and retrieval of data efficiently and securely. The module generates detailed reports that summarize users’ performances across multiple sessions. These reports include visualizations of key metrics, making it easier to interpret complex data sets. Moreover, a simple representation of personal progress promotes self-efficacy aspects: users are protagonists of their own improvements and have a clear tool to see the effect of their commitment.
